ОТВЕТ на задание № 227 Учебник по Алгебре 8 класс Макарычев
Учебник
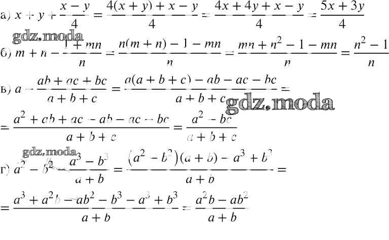
упражнение / 227

Решебник №1
упражнение / 227

Решебник №2
упражнение / 227

Решебник №3
упражнение / 227

Решебник №4
упражнение / 227

Решебник №5
упражнение / 227

Решебник №6
упражнение / 227

Решебник №7
упражнение / 227
