ОТВЕТ на задание № 228 Учебник по Алгебре 8 класс Макарычев
Учебник
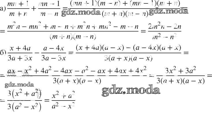
упражнение / 228

Решебник №1
упражнение / 228

Решебник №2
упражнение / 228

Решебник №3
упражнение / 228

Решебник №4
упражнение / 228


Решебник №5
упражнение / 228

Решебник №6
упражнение / 228

Решебник №7
упражнение / 228
