ОТВЕТ на задание № 229 Учебник по Алгебре 8 класс Макарычев
Учебник
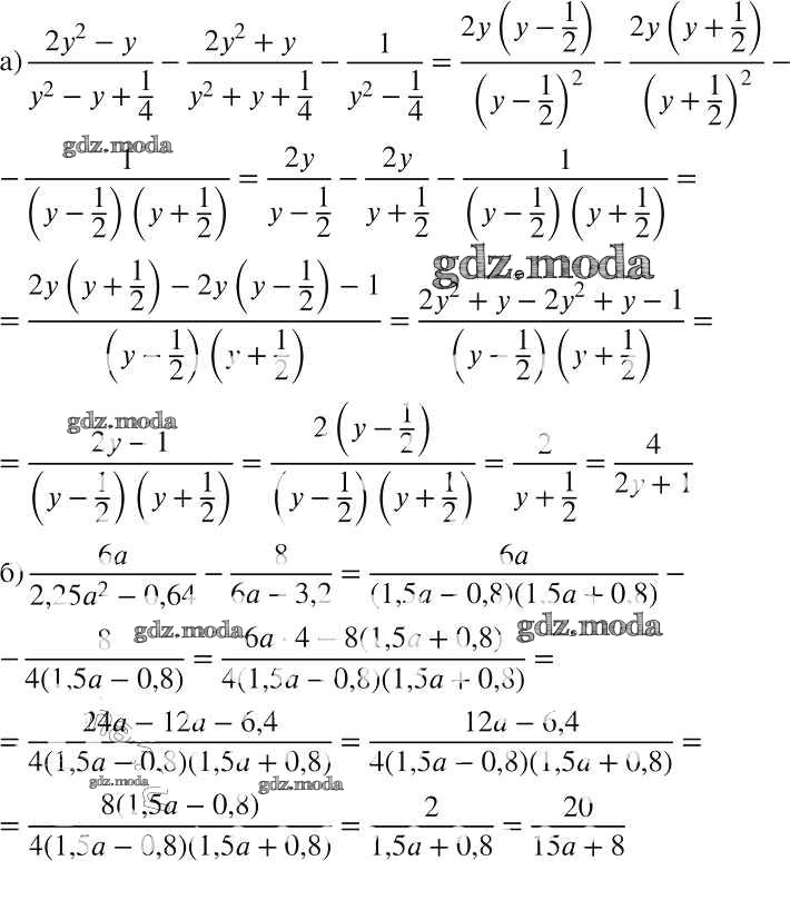
упражнение / 229

Решебник №1
упражнение / 229

Решебник №2
упражнение / 229

Решебник №3
упражнение / 229

Решебник №4
упражнение / 229


Решебник №5
упражнение / 229

Решебник №6
упражнение / 229

Решебник №7
упражнение / 229
