ОТВЕТ на задание № 231 Учебник по Алгебре 8 класс Макарычев
Учебник
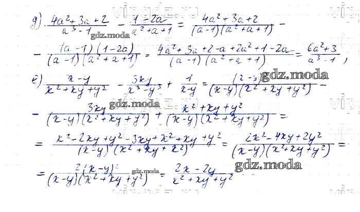
упражнение / 231

Решебник №1
упражнение / 231

Решебник №2
упражнение / 231

Решебник №3
упражнение / 231


Решебник №4
упражнение / 231



Решебник №5
упражнение / 231

Решебник №6
упражнение / 231

Решебник №7
упражнение / 231
