ОТВЕТ на задание № 232 Учебник по Алгебре 8 класс Макарычев
Учебник
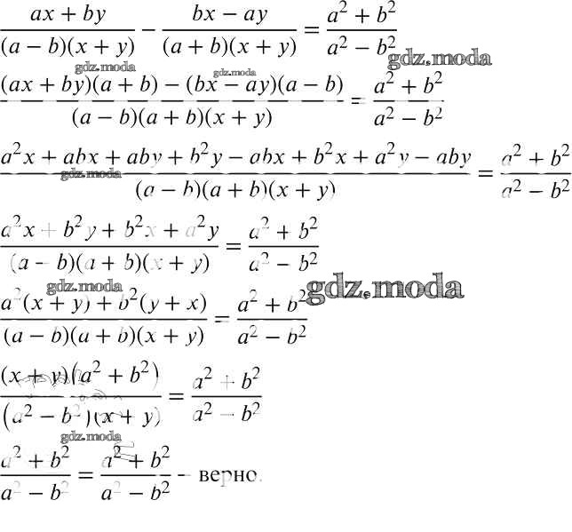
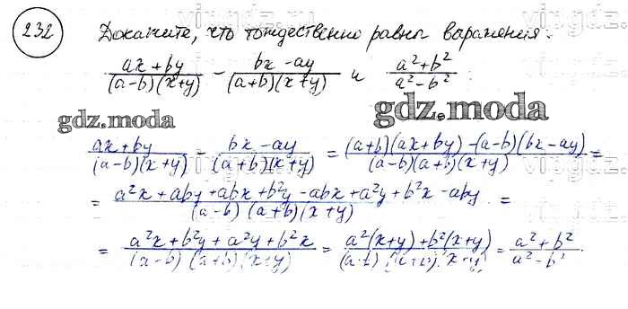
упражнение / 232

Решебник №1
упражнение / 232

Решебник №2
упражнение / 232

Решебник №3
упражнение / 232

Решебник №4
упражнение / 232


Решебник №5
упражнение / 232

Решебник №6
упражнение / 232

Решебник №7
упражнение / 232
