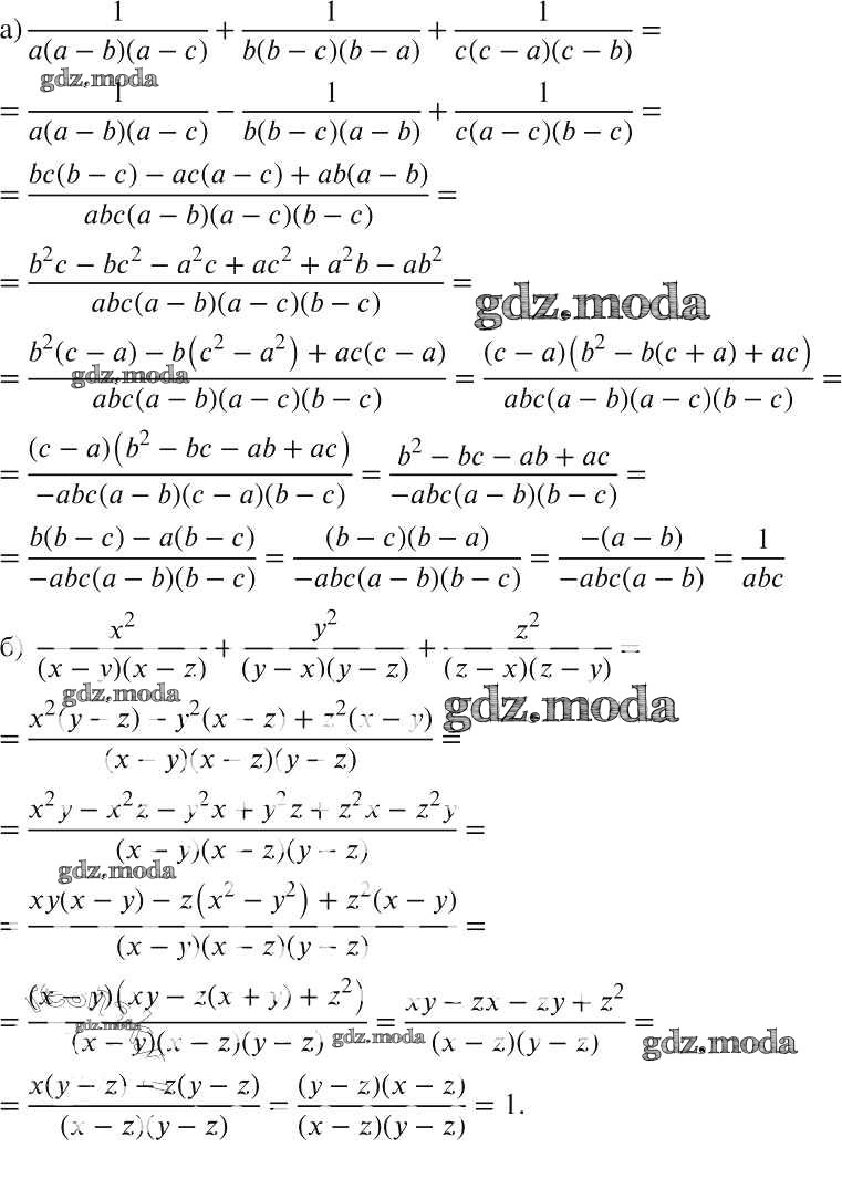
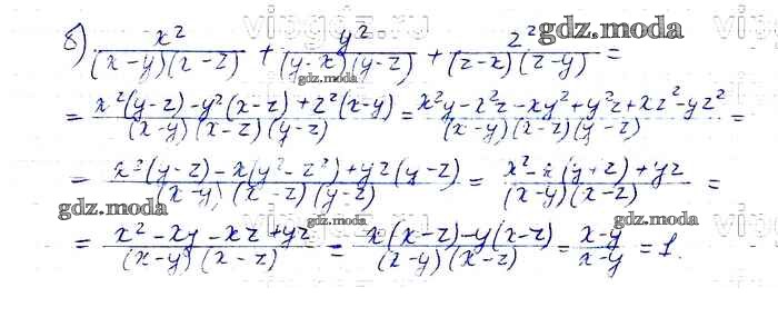
ОТВЕТ на задание № 233 Учебник по Алгебре 8 класс Макарычев
Учебник
упражнение / 233

Решебник №1
упражнение / 233

Решебник №2
упражнение / 233

Решебник №3
упражнение / 233


Решебник №4
упражнение / 233


Решебник №5
упражнение / 233

Решебник №6
упражнение / 233

Решебник №7
упражнение / 233
