ОТВЕТ на задание № 235 Учебник по Алгебре 8 класс Макарычев
Учебник
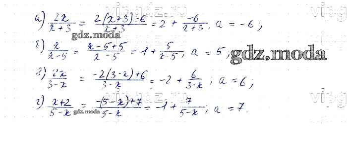
упражнение / 235

Решебник №1
упражнение / 235

Решебник №2
упражнение / 235

Решебник №3
упражнение / 235


Решебник №4
упражнение / 235


Решебник №5
упражнение / 235

Решебник №6
упражнение / 235

Решебник №7
упражнение / 235
