ОТВЕТ на задание № 236 Учебник по Алгебре 8 класс Макарычев
Учебник
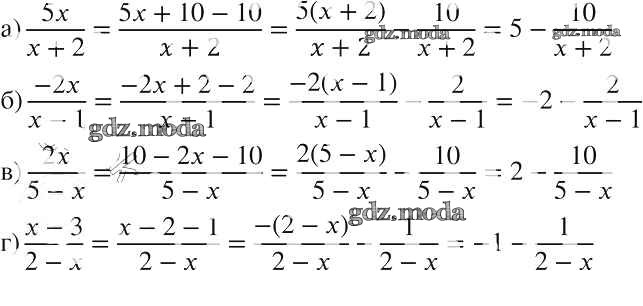
упражнение / 236

Решебник №1
упражнение / 236

Решебник №2
упражнение / 236

Решебник №3
упражнение / 236

Решебник №4
упражнение / 236

Решебник №5
упражнение / 236

Решебник №6
упражнение / 236
