ОТВЕТ на задание № 238 Учебник по Алгебре 8 класс Макарычев
Учебник
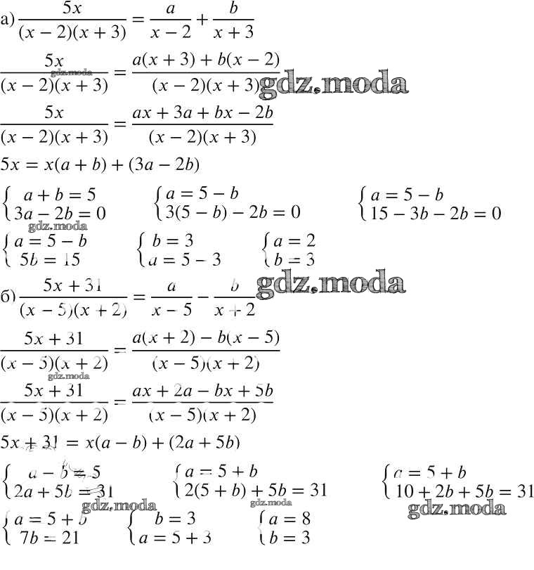
упражнение / 238

Решебник №1
упражнение / 238

Решебник №2
упражнение / 238

Решебник №3
упражнение / 238

Решебник №4
упражнение / 238


Решебник №5
упражнение / 238

Решебник №6
упражнение / 238

Решебник №7
упражнение / 238
