ОТВЕТ на задание № 239 Учебник по Алгебре 8 класс Макарычев
Учебник
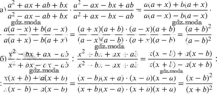
упражнение / 239

Решебник №1
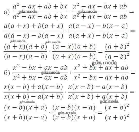
упражнение / 239

Решебник №2
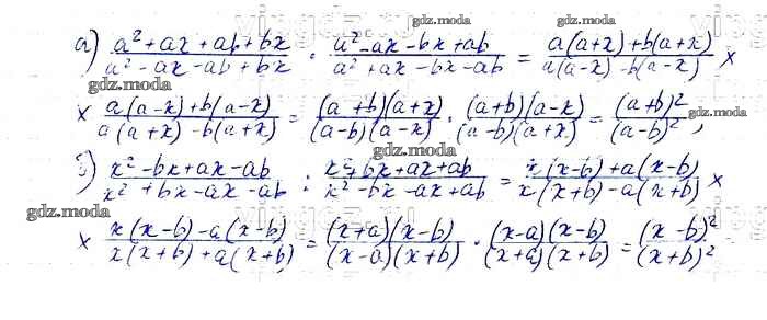
упражнение / 239

Решебник №3
упражнение / 239


Решебник №4
упражнение / 239


Решебник №5
упражнение / 239

Решебник №6
упражнение / 239

Решебник №7
упражнение / 239
