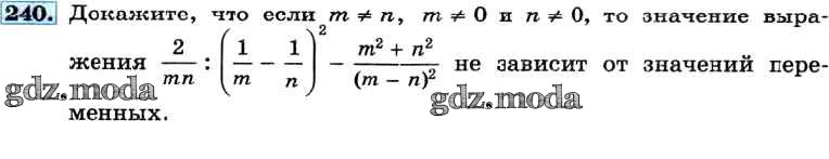
ОТВЕТ на задание № 240 Учебник по Алгебре 8 класс Макарычев
Учебник
упражнение / 240

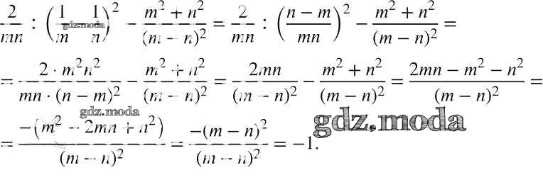
Решебник №1
упражнение / 240

Решебник №2
упражнение / 240

Решебник №3
упражнение / 240

Решебник №4
упражнение / 240

Решебник №5
упражнение / 240

Решебник №6
упражнение / 240

Решебник №7
упражнение / 240
