ОТВЕТ на задание № 24 Учебник по Алгебре 8 класс Макарычев
Учебник
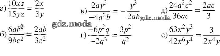
упражнение / 24

Решебник №1
упражнение / 24

Решебник №2
упражнение / 24

Решебник №3
упражнение / 24


Решебник №4
упражнение / 24


Решебник №5
упражнение / 24

Решебник №6
упражнение / 24

Решебник №7
упражнение / 24
