ОТВЕТ на задание № 25 Учебник по Алгебре 8 класс Макарычев
Учебник
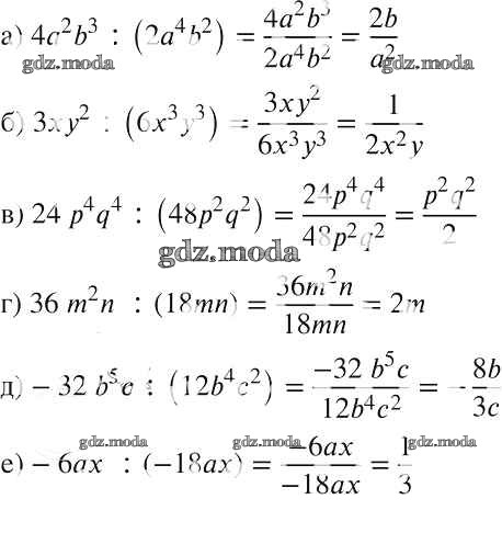
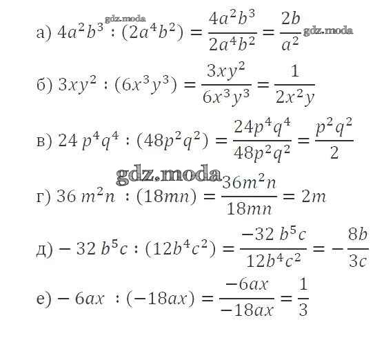
упражнение / 25

Решебник №1
упражнение / 25

Решебник №2
упражнение / 25

Решебник №3
упражнение / 25

Решебник №4
упражнение / 25


Решебник №5
упражнение / 25

Решебник №6
упражнение / 25

Решебник №7
упражнение / 25
