ОТВЕТ на задание № 243 Учебник по Алгебре 8 класс Макарычев
Учебник
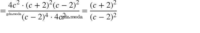
упражнение / 243

Решебник №1
упражнение / 243

Решебник №2
упражнение / 243


Решебник №3
упражнение / 243


Решебник №4
упражнение / 243



Решебник №5
упражнение / 243

Решебник №6
упражнение / 243

Решебник №7
упражнение / 243
