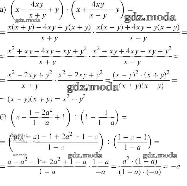
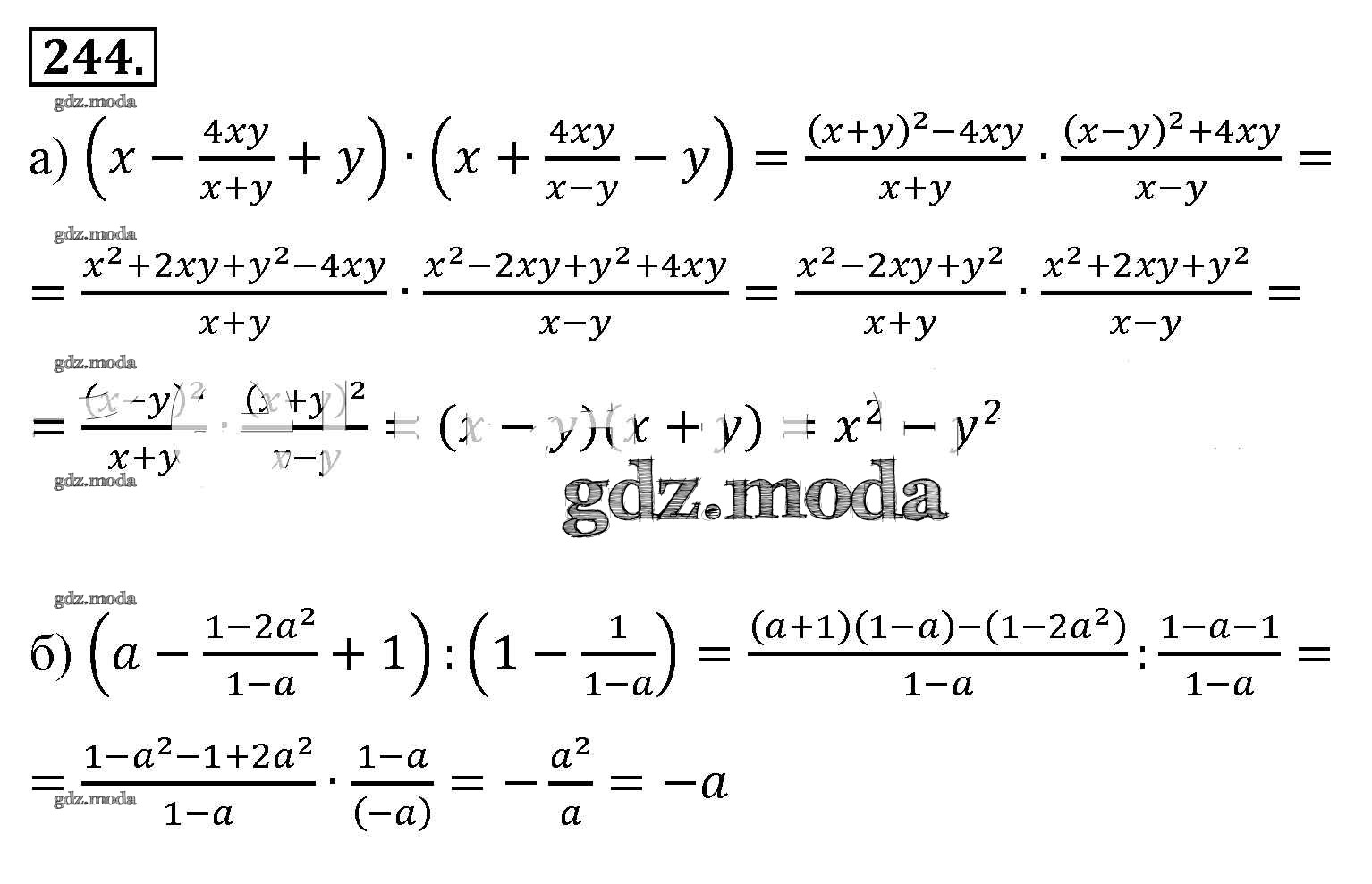
ОТВЕТ на задание № 244 Учебник по Алгебре 8 класс Макарычев
Учебник
упражнение / 244

Решебник №1
упражнение / 244

Решебник №2
упражнение / 244

Решебник №3
упражнение / 244


Решебник №4
упражнение / 244

Решебник №5
упражнение / 244

Решебник №6
упражнение / 244

Решебник №7
упражнение / 244
