ОТВЕТ на задание № 246 Учебник по Алгебре 8 класс Макарычев
Учебник
упражнение / 246

Решебник №1
упражнение / 246

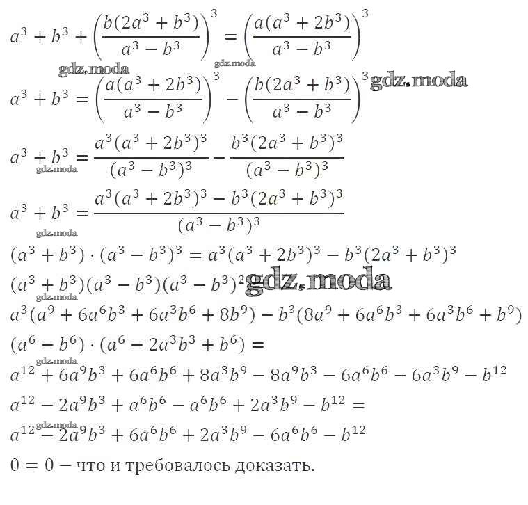
Решебник №2
упражнение / 246

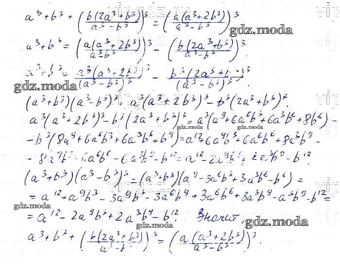
Решебник №3
упражнение / 246


Решебник №4
упражнение / 246


Решебник №5
упражнение / 246

Решебник №6
упражнение / 246

Решебник №7
упражнение / 246
