ОТВЕТ на задание № 247 Учебник по Алгебре 8 класс Макарычев
Учебник
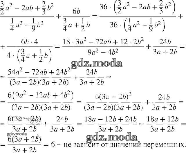
упражнение / 247

Решебник №1
упражнение / 247

Решебник №2
упражнение / 247

Решебник №3
упражнение / 247

Решебник №4
упражнение / 247


Решебник №6
упражнение / 247

Решебник №7
упражнение / 247
