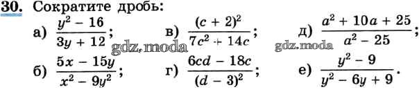
ОТВЕТ на задание № 30 Учебник по Алгебре 8 класс Макарычев
Учебник
упражнение / 30

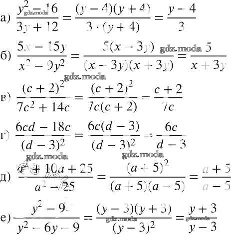
Решебник №1
упражнение / 30

Решебник №2
упражнение / 30

Решебник №3
упражнение / 30

Решебник №4
упражнение / 30


Решебник №5
упражнение / 30

Решебник №6
упражнение / 30

Решебник №7
упражнение / 30
