ОТВЕТ на задание № 31 Учебник по Алгебре 8 класс Макарычев
Учебник
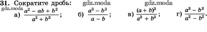
упражнение / 31

Решебник №1
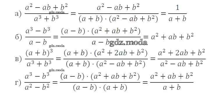
упражнение / 31

Решебник №2
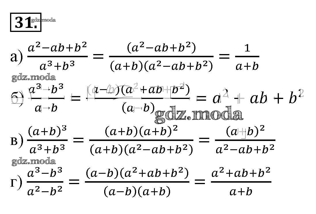
упражнение / 31

Решебник №3
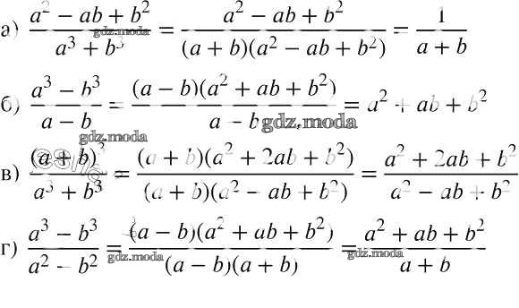
упражнение / 31

Решебник №4
упражнение / 31

Решебник №5
упражнение / 31

Решебник №6
упражнение / 31

Решебник №7
упражнение / 31
