ОТВЕТ на задание № 37 Учебник по Алгебре 8 класс Макарычев
Учебник
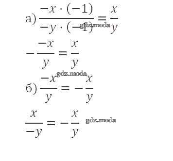
упражнение / 37

Решебник №1
упражнение / 37

Решебник №2
упражнение / 37

Решебник №3
упражнение / 37

Решебник №4
упражнение / 37

Решебник №5
упражнение / 37

Решебник №6
упражнение / 37

Решебник №7
упражнение / 37
