ОТВЕТ на задание № 38 Учебник по Алгебре 8 класс Макарычев
Учебник
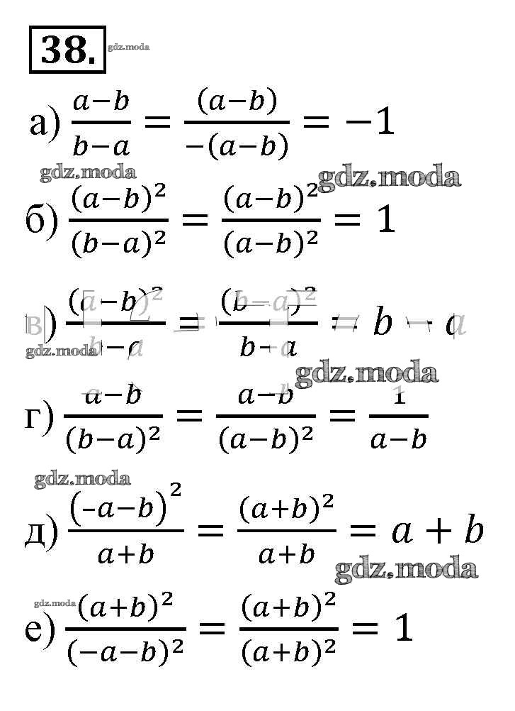
упражнение / 38

Решебник №1
упражнение / 38

Решебник №2
упражнение / 38

Решебник №3
упражнение / 38

Решебник №4
упражнение / 38

Решебник №5
упражнение / 38

Решебник №6
упражнение / 38

Решебник №7
упражнение / 38
