ОТВЕТ на задание № 386 Учебник по Алгебре 8 класс Макарычев
Учебник
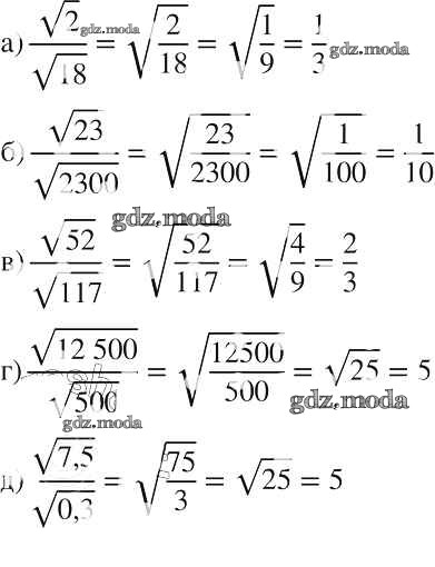
упражнение / 386

Решебник №1
упражнение / 386

Решебник №2
упражнение / 386

Решебник №3
упражнение / 386

Решебник №4
упражнение / 386


Решебник №5
упражнение / 386

Решебник №6
упражнение / 386

Решебник №7
упражнение / 386
