ОТВЕТ на задание № 387 Учебник по Алгебре 8 класс Макарычев
Учебник
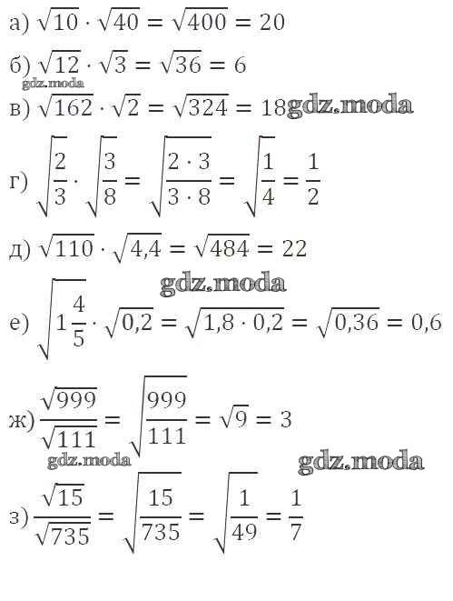
упражнение / 387

Решебник №1
упражнение / 387

Решебник №2
упражнение / 387

Решебник №3
упражнение / 387

Решебник №4
упражнение / 387

Решебник №5
упражнение / 387

Решебник №6
упражнение / 387

Решебник №7
упражнение / 387
