ОТВЕТ на задание № 393 Учебник по Алгебре 8 класс Макарычев
Учебник
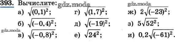
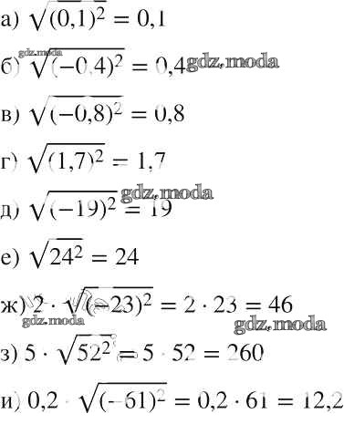
упражнение / 393

Решебник №1
упражнение / 393

Решебник №2
упражнение / 393

Решебник №3
упражнение / 393

Решебник №4
упражнение / 393

Решебник №5
упражнение / 393

Решебник №6
упражнение / 393

Решебник №7
упражнение / 393
