ОТВЕТ на задание № 394 Учебник по Алгебре 8 класс Макарычев
Учебник
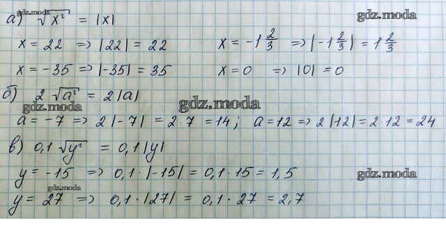
упражнение / 394

Решебник №1
упражнение / 394

Решебник №2
упражнение / 394

Решебник №3
упражнение / 394

Решебник №4
упражнение / 394


Решебник №5
упражнение / 394

Решебник №6
упражнение / 394

Решебник №7
упражнение / 394
