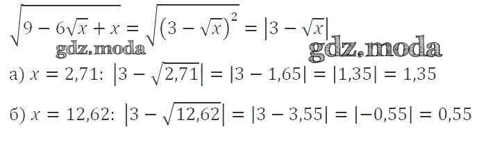
ОТВЕТ на задание № 398 Учебник по Алгебре 8 класс Макарычев
Учебник
упражнение / 398

Решебник №1
упражнение / 398

Решебник №2
упражнение / 398

Решебник №3
упражнение / 398

Решебник №4
упражнение / 398

Решебник №5
упражнение / 398

Решебник №6
упражнение / 398

Решебник №7
упражнение / 398
