ОТВЕТ на задание № 399 Учебник по Алгебре 8 класс Макарычев
Учебник
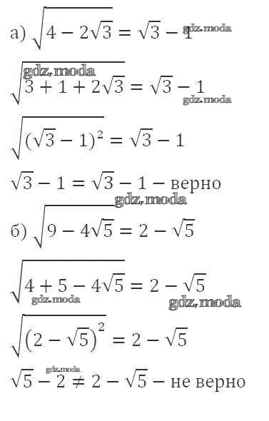
упражнение / 399

Решебник №1
упражнение / 399

Решебник №2
упражнение / 399

Решебник №3
упражнение / 399

Решебник №4
упражнение / 399


Решебник №5
упражнение / 399

Решебник №6
упражнение / 399

Решебник №7
упражнение / 399
