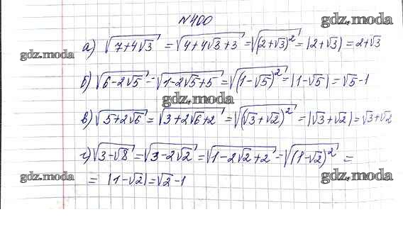
ОТВЕТ на задание № 400 Учебник по Алгебре 8 класс Макарычев
Учебник
упражнение / 400

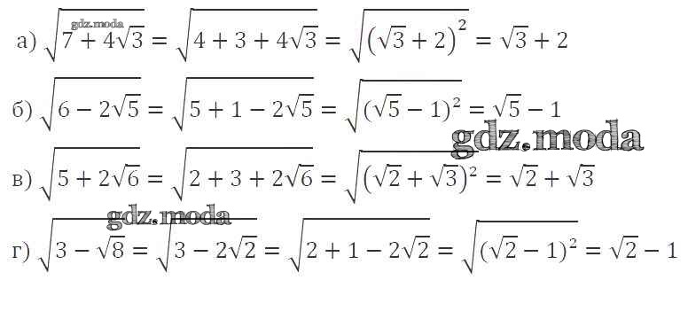
Решебник №1
упражнение / 400

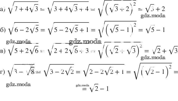
Решебник №2
упражнение / 400

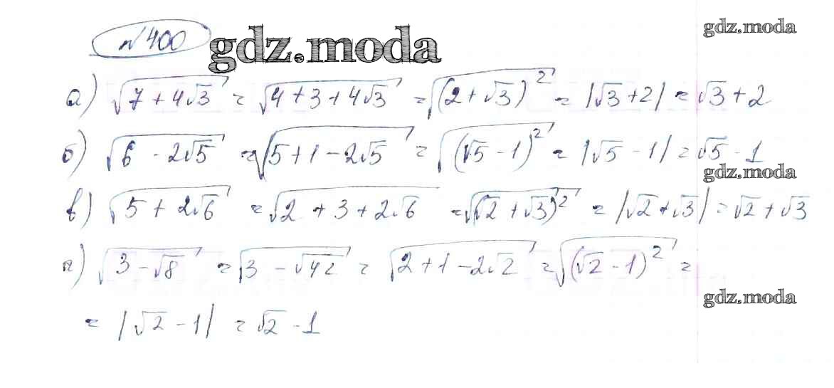
Решебник №3
упражнение / 400

Решебник №4
упражнение / 400

Решебник №5
упражнение / 400

Решебник №6
упражнение / 400

Решебник №7
упражнение / 400
