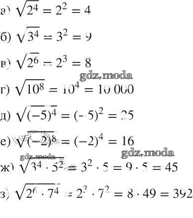
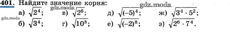
ОТВЕТ на задание № 401 Учебник по Алгебре 8 класс Макарычев
Учебник
упражнение / 401

Решебник №1
упражнение / 401

Решебник №2
упражнение / 401

Решебник №3
упражнение / 401

Решебник №4
упражнение / 401


Решебник №5
упражнение / 401

Решебник №6
упражнение / 401

Решебник №7
упражнение / 401
