ОТВЕТ на задание № 421 Учебник по Алгебре 8 класс Макарычев
Учебник
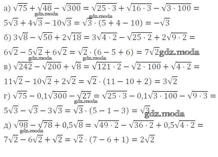
упражнение / 421

Решебник №1
упражнение / 421

Решебник №2
упражнение / 421

Решебник №3
упражнение / 421

Решебник №4
упражнение / 421

Решебник №5
упражнение / 421

Решебник №6
упражнение / 421

Решебник №7
упражнение / 421
