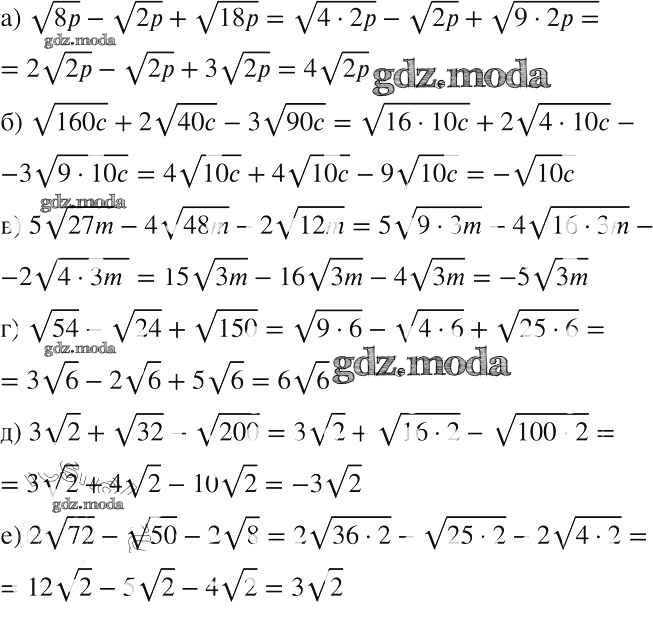
ОТВЕТ на задание № 422 Учебник по Алгебре 8 класс Макарычев
Учебник
упражнение / 422

Решебник №1
упражнение / 422

Решебник №2
упражнение / 422

Решебник №3
упражнение / 422

Решебник №4
упражнение / 422


Решебник №5
упражнение / 422

Решебник №6
упражнение / 422

Решебник №7
упражнение / 422
