ОТВЕТ на задание № 427 Учебник по Алгебре 8 класс Макарычев
Учебник
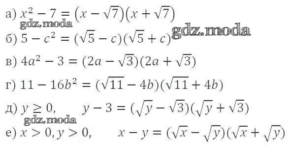
упражнение / 427

Решебник №1
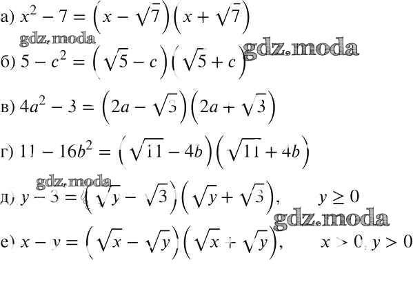
упражнение / 427

Решебник №2
упражнение / 427

Решебник №3
упражнение / 427

Решебник №4
упражнение / 427

Решебник №5
упражнение / 427

Решебник №6
упражнение / 427

Решебник №7
упражнение / 427
