ОТВЕТ на задание № 428 Учебник по Алгебре 8 класс Макарычев
Учебник
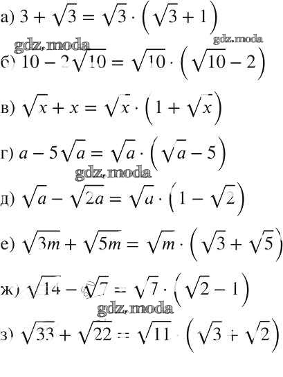
упражнение / 428

Решебник №1
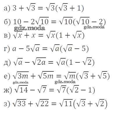
упражнение / 428

Решебник №2
упражнение / 428

Решебник №3
упражнение / 428

Решебник №4
упражнение / 428

Решебник №5
упражнение / 428

Решебник №6
упражнение / 428

Решебник №7
упражнение / 428
