ОТВЕТ на задание № 429 Учебник по Алгебре 8 класс Макарычев
Учебник
упражнение / 429

Решебник №1
упражнение / 429

Решебник №2
упражнение / 429

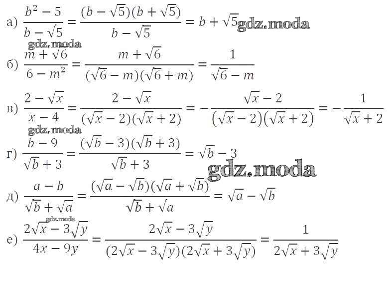
Решебник №3
упражнение / 429

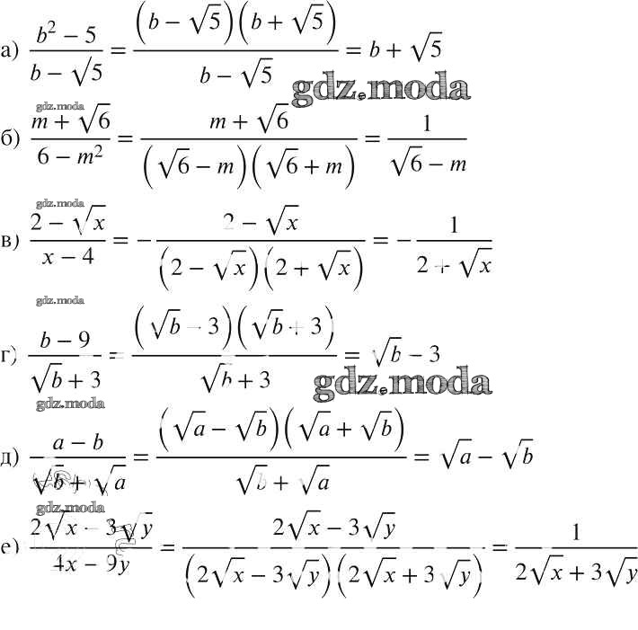
Решебник №4
упражнение / 429


Решебник №5
упражнение / 429

Решебник №6
упражнение / 429

Решебник №7
упражнение / 429
