ОТВЕТ на задание № 435 Учебник по Алгебре 8 класс Макарычев
Учебник
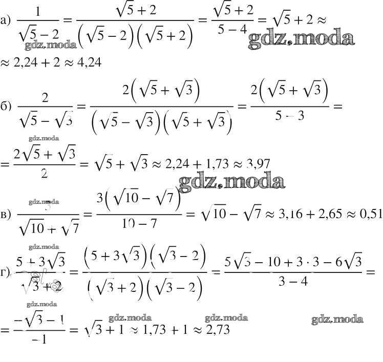
упражнение / 435

Решебник №1
упражнение / 435

Решебник №2
упражнение / 435

Решебник №3
упражнение / 435


Решебник №4
упражнение / 435

Решебник №5
упражнение / 435

Решебник №6
упражнение / 435

Решебник №7
упражнение / 435
