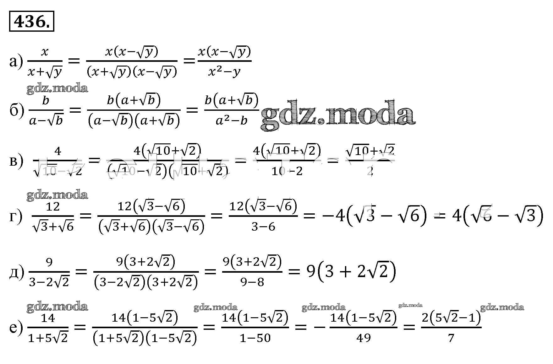
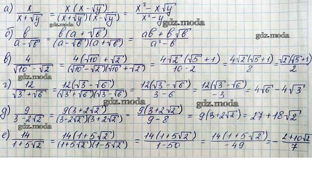
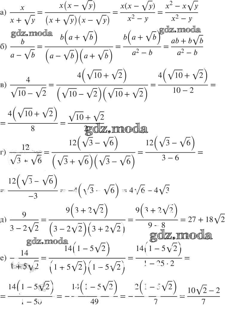
ОТВЕТ на задание № 436 Учебник по Алгебре 8 класс Макарычев
Учебник
упражнение / 436

Решебник №1
упражнение / 436

Решебник №2
упражнение / 436

Решебник №3
упражнение / 436

Решебник №4
упражнение / 436

Решебник №5
упражнение / 436

Решебник №6
упражнение / 436

Решебник №7
упражнение / 436
