ОТВЕТ на задание № 437 Учебник по Алгебре 8 класс Макарычев
Учебник
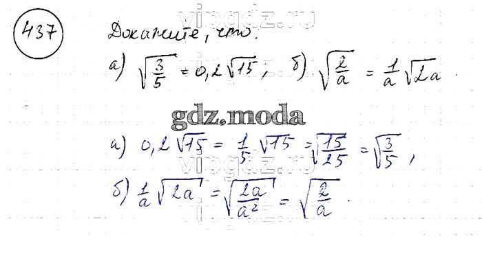
упражнение / 437

Решебник №1
упражнение / 437

Решебник №2
упражнение / 437

Решебник №3
упражнение / 437

Решебник №4
упражнение / 437

Решебник №6
упражнение / 437

Решебник №7
упражнение / 437
