ОТВЕТ на задание № 47 Учебник по Алгебре 8 класс Макарычев
Учебник
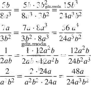
упражнение / 47

Решебник №1
упражнение / 47

Решебник №2
упражнение / 47

Решебник №3
упражнение / 47


Решебник №4
упражнение / 47


Решебник №5
упражнение / 47

Решебник №6
упражнение / 47

Решебник №7
упражнение / 47
