ОТВЕТ на задание № 48 Учебник по Алгебре 8 класс Макарычев
Учебник
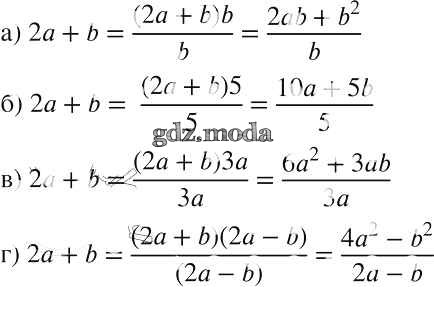
упражнение / 48

Решебник №1
упражнение / 48

Решебник №2
упражнение / 48

Решебник №3
упражнение / 48

Решебник №4
упражнение / 48

Решебник №5
упражнение / 48

Решебник №6
упражнение / 48

Решебник №7
упражнение / 48
