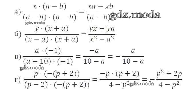
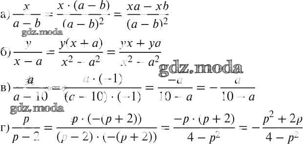
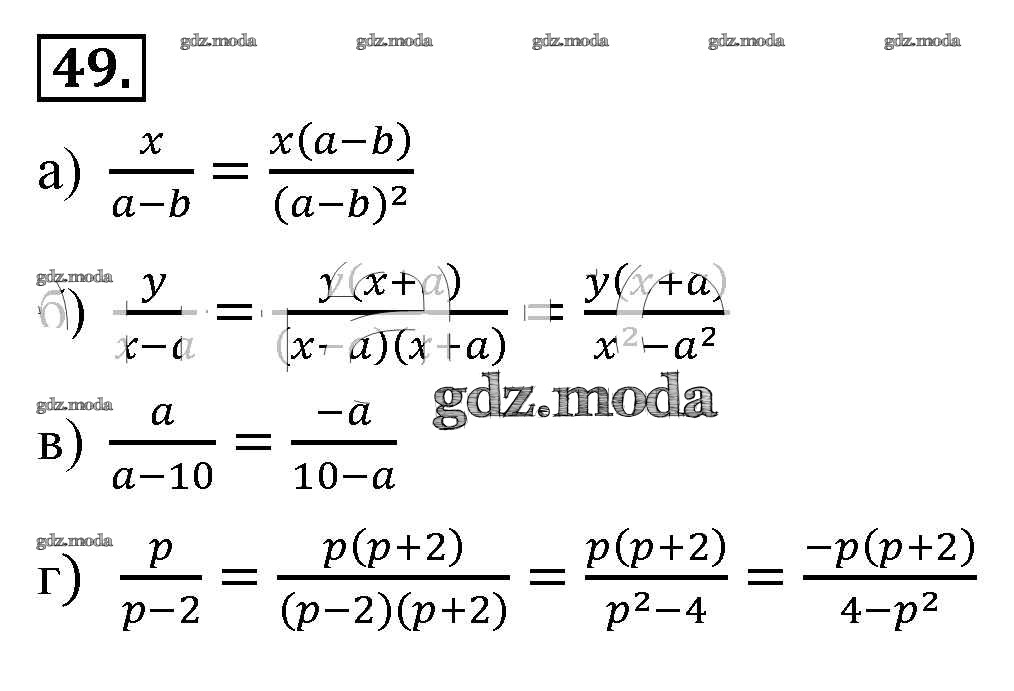
ОТВЕТ на задание № 49 Учебник по Алгебре 8 класс Макарычев
Учебник
упражнение / 49

Решебник №1
упражнение / 49

Решебник №2
упражнение / 49

Решебник №3
упражнение / 49


Решебник №4
упражнение / 49


Решебник №5
упражнение / 49

Решебник №6
упражнение / 49

Решебник №7
упражнение / 49
