ОТВЕТ на задание № 473 Учебник по Алгебре 8 класс Макарычев
Учебник
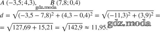
упражнение / 473

Решебник №1
упражнение / 473

Решебник №2
упражнение / 473

Решебник №3
упражнение / 473

Решебник №4
упражнение / 473

Решебник №5
упражнение / 473

Решебник №6
упражнение / 473

Решебник №7
упражнение / 473
