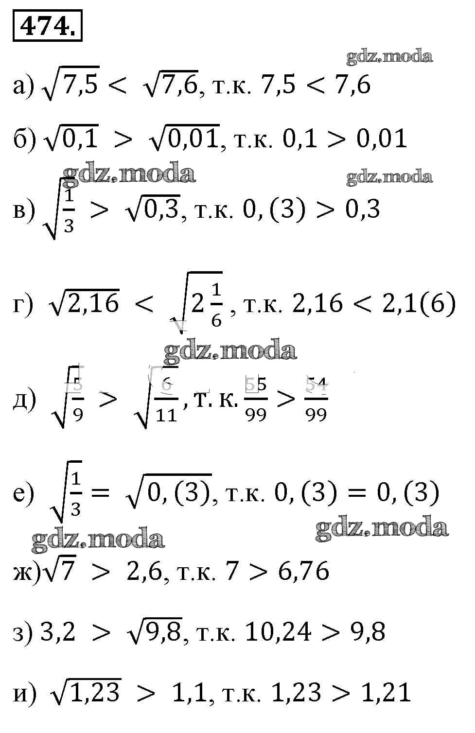
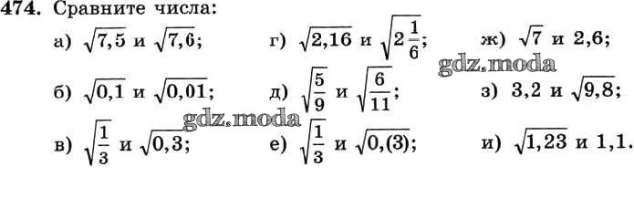
ОТВЕТ на задание № 474 Учебник по Алгебре 8 класс Макарычев
Учебник
упражнение / 474

Решебник №1
упражнение / 474

Решебник №2
упражнение / 474

Решебник №3
упражнение / 474

Решебник №4
упражнение / 474


Решебник №5
упражнение / 474

Решебник №6
упражнение / 474

Решебник №7
упражнение / 474
