ОТВЕТ на задание № 480 Учебник по Алгебре 8 класс Макарычев
Учебник
упражнение / 480

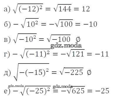
Решебник №1
упражнение / 480

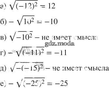
Решебник №2
упражнение / 480

Решебник №3
упражнение / 480

Решебник №4
упражнение / 480

Решебник №5
упражнение / 480

Решебник №6
упражнение / 480

Решебник №7
упражнение / 480
