ОТВЕТ на задание № 481 Учебник по Алгебре 8 класс Макарычев
Учебник
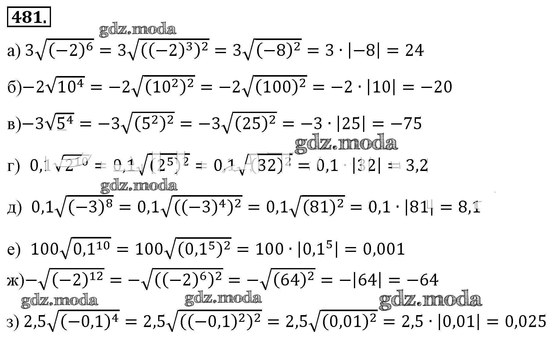
упражнение / 481

Решебник №1
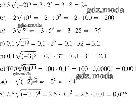
упражнение / 481

Решебник №2
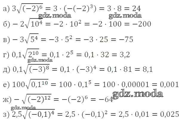
упражнение / 481

Решебник №3
упражнение / 481

Решебник №4
упражнение / 481


Решебник №5
упражнение / 481

Решебник №6
упражнение / 481

Решебник №7
упражнение / 481
