ОТВЕТ на задание № 502 Учебник по Алгебре 8 класс Макарычев
Учебник
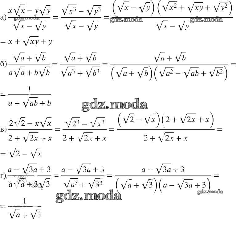
упражнение / 502

Решебник №1
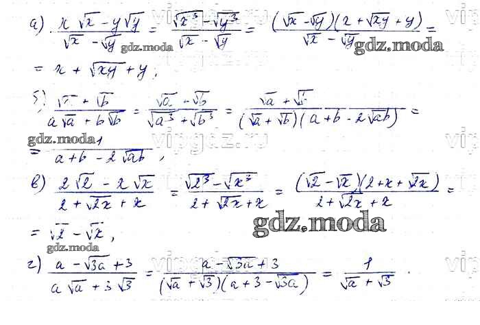
упражнение / 502

Решебник №2
упражнение / 502

Решебник №3
упражнение / 502


Решебник №4
упражнение / 502


Решебник №6
упражнение / 502

Решебник №7
упражнение / 502
