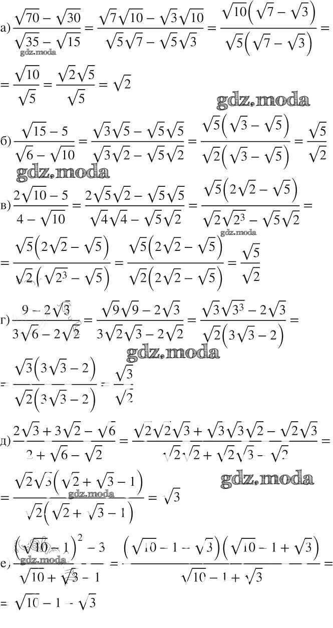
ОТВЕТ на задание № 503 Учебник по Алгебре 8 класс Макарычев
Учебник
упражнение / 503

Решебник №1
упражнение / 503

Решебник №2
упражнение / 503

Решебник №3
упражнение / 503

Решебник №4
упражнение / 503


Решебник №5
упражнение / 503

Решебник №6
упражнение / 503

Решебник №7
упражнение / 503
