ОТВЕТ на задание № 504 Учебник по Алгебре 8 класс Макарычев
Учебник
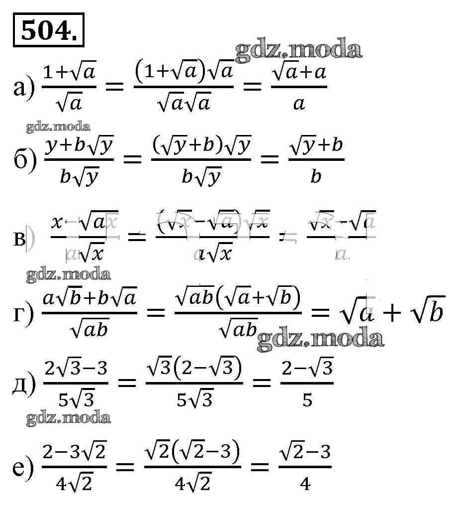
упражнение / 504

Решебник №1
упражнение / 504

Решебник №2
упражнение / 504

Решебник №3
упражнение / 504

Решебник №4
упражнение / 504


Решебник №5
упражнение / 504

Решебник №6
упражнение / 504

Решебник №7
упражнение / 504
