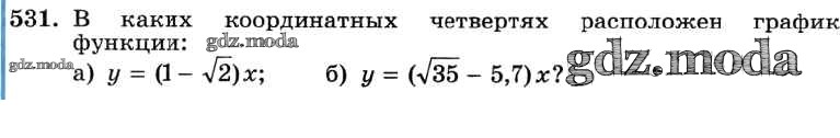
ОТВЕТ на задание № 531 Учебник по Алгебре 8 класс Макарычев
Учебник
упражнение / 531

Решебник №1
упражнение / 531

Решебник №2
упражнение / 531

Решебник №3
упражнение / 531

Решебник №4
упражнение / 531


Решебник №5
упражнение / 531

Решебник №6
упражнение / 531

Решебник №7
упражнение / 531
