ОТВЕТ на задание № 532 Учебник по Алгебре 8 класс Макарычев
Учебник
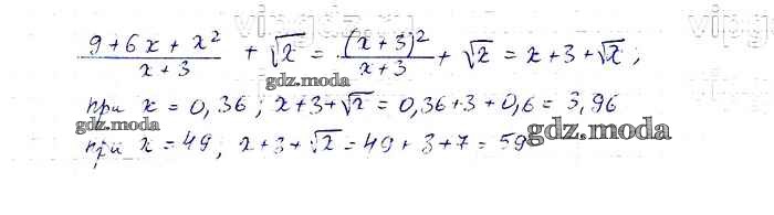
упражнение / 532

Решебник №1
упражнение / 532

Решебник №2
упражнение / 532

Решебник №3
упражнение / 532


Решебник №4
упражнение / 532

Решебник №5
упражнение / 532

Решебник №6
упражнение / 532

Решебник №7
упражнение / 532
