ОТВЕТ на задание № 544 Учебник по Алгебре 8 класс Макарычев
Учебник
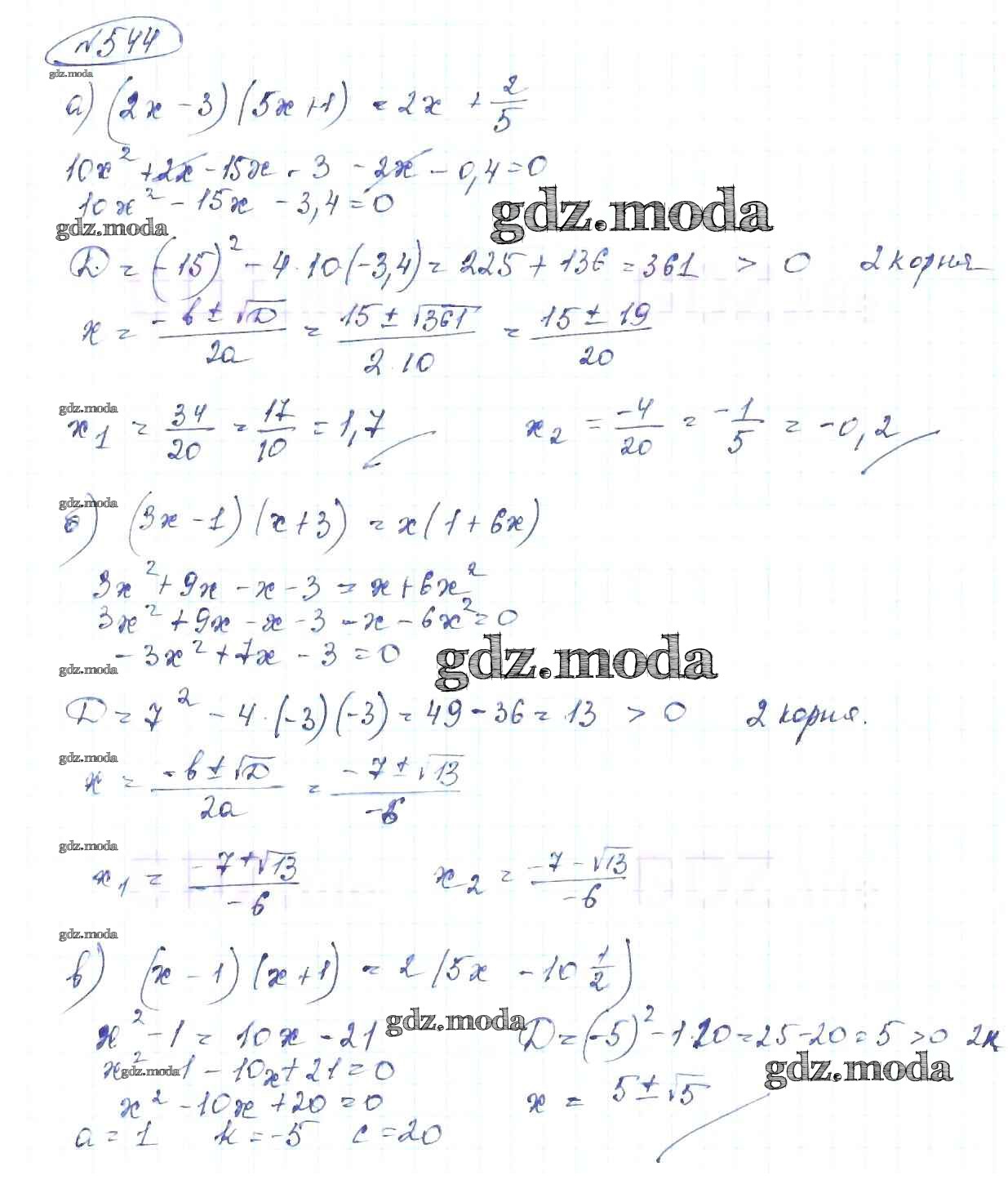
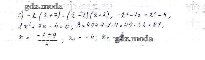
упражнение / 544

Решебник №1
упражнение / 544

Решебник №2
упражнение / 544


Решебник №3
упражнение / 544


Решебник №4
упражнение / 544


Решебник №5
упражнение / 544

Решебник №6
упражнение / 544

Решебник №7
упражнение / 544
